Mitsunobu反应 构型翻转还是保留问题

张好古 (2022-08-06 17:46:16) 评论 (0)

常规Mitsunobu反应构型变化

 

这类所谓的常规,指的是最常用的DEAD或者DIAD作为试剂时的情况。这种情况下,大多数产物都是构型翻转的。但也有一些构型保持的报道(详见:Mitsunobu反应[2] 真相大白!Mitsunobu反应构型不发生翻转的原因)。

Image

正如上图所示,DEAD或者DIAD作为试剂,构型翻转还是保留,存在竞争反应。

 

如果反应按照Path 2进行,应该生成构型保持的产物。但DEAD生成的相应的肼负离子,具有相当的碱性,会夺取醇2的质子,导致54的转化,从而又会生成构型翻转的产物。

 

为此,有文章设计了更温和的试剂,不产生强碱性的中间体,更利于产物构型的控制。

Image

产物构型可控的Mitsunobu反应

 

试剂的设计:

 

该类试剂可以方便地通过烷基膦制备,如下图所示。

 

其中,三丁基磷烷6a是一种无色、粘性的油,在室温氩气下可稳定至少6个月。当暴露在空气中时,发生水解,生成三丁基膦和二甲基丙二酸酯(DMM,pKa ~ 10)。

Image

产物构型的控制:

 

结果如下表所示

Image

1. 酸性对产物构型的影响:

苯环上的取代基吸电子性越强,羧酸的酸性越强,产物越倾向于构型保持。取代基供电性越强,酸性越弱,产物越倾向于构型翻转(entry 1-3)。

 

2. 空间位阻对产物构型的影响:

酸的位阻越大,产物越倾向于构型翻转(entry 4-7)。醇的位阻越大,越倾向于构型保持(entry 8 VS 9,12)。

 

3. 溶剂对产物构型的影响

DMF比甲苯更利于构型保持(entry 1 VS 8)。

 

 

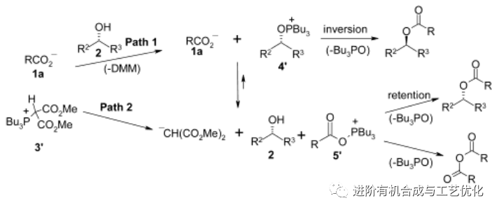
反应机理:

 

为了解释上述实验结果,文章提出如下机理。

有兴趣的同学可以自己琢磨一下,为什么这个机理能解释上述实验结果?

 

以位阻对反应的影响为例。

酸的位阻越大,反应越倾向于按照Path 1进行。因为Path 1和Path 2第一步的竞争其实就是羧基离子1a和醇23’ 上的膦正离子的竞争。大位阻的羧基显然不利于生成5'。此时反应就倾向于按照path 1进行,生成构型翻转的产物(entry 4-7)。

Image

参考文献:

Dimethylmalonyltrialkylphosphoranes: New General Reagents for Esterification Reactions Allowing Controlled Inversion or Retention of Configuration on Chiral Alcohols

Cite this: J. Org. Chem. 2003, 68, 4, 1597–1600

https://doi.org/10.1021/jo026639y

 

源于参考文献,若有侵权,请联系删除。